内容
什么是环球之门?
一个通用门是一个逻辑门,可以实现任何布尔函数,而不需要使用任何其他类型的逻辑门。的或非门和与非门盖茨是普遍的。这意味着您可以仅使用NOR门或NAND门创建任何逻辑布尔表达式。
在实践中,这是有利的,因为NOR和NAND门是经济的,更容易制造比其他逻辑门。以致于和门通常实现为一个NAND门,然后是一个逆变器(而不是相反)!同样,一个或门是典型的实现为NOR门后跟一个逆变器。
其他逻辑门-如和盖茨,不是盖茨和或门-没有这种普遍性。请注意,结合这三个逻辑门可以实现所有可能的布尔开关功能,但不能单独实现。因此,与NOR和NAND逻辑门不同,它们不属于通用门。
如果你想把这些万能门作为电子工程的一部分来玩玩,许多最好的Arduino初学者工具包包含这些通用的NOR和NAND门。
现在我们来看看NOR门和NAND门的操作普遍的盖茨.
与非门作为万能门
下图是一个双输入与非门。第一部分是和门第二部分是后面的一个点,表示一个非门。
在与非门的运行过程中,输入首先经过与门,然后输出反转,得到最终的输出。现在我们来看看真值表与非门。
我们将考虑上述与非门的真值表,即一个双输入与非门。两个输入是A和B。
现在我们来看看如何用这个门来建造其他的门。
这是一个与非门用来像非门一样工作的电路图,除了下面的电路图外,还给出了非门的原始逻辑门图。
上图是一个或门由与非门组合而成,以适当的方式排列。在图的旁边还给出了OR门的真值表。
现在我们将从与与门看到与门的设计。
上图是由与门组成的与门。所以我们可以看到,所有这三个基本的门,都可以只用与非门,这就是为什么这个门被称为通用门,这是适当的。
也不是世界之门
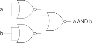
我们已经看到,通过单独使用与非门可以用来制造所有三个基本门。现在我们将讨论同样的情况下,NOR门。
上图是仅使用NOR门的OR门。这个门的输出与一个“或”门的输出完全相似。我们可以看到OR门使用的电路安排,NOR门类似于与门使用与非门。
上图顾名思义是只用NOR门的AND门,我们可以再次看到只用NOR门的AND门的电路图与只用NAND门的OR门的电路图完全相似。现在我们将最终看到,我们可以通过使用只有NOR门的非门。
上图是用NOR门制作的非门。该电路图与只用与非门制作的非门电路图类似。
所以,从上面的讨论可以清楚地看出,所有三个基本的门(AND, OR, NOT)都可以只用NOR门来制造。因此,它可以被恰当地称为通用门.













