我们已经讨论过了傅里叶系列以指数形式。在本文中,我们将讨论另一种形式的傅立叶系列即。三角傅里叶系列。
三角形式的傅里叶系列表示
傅里叶系列三角形可以容易地从其指数形式衍生。具有基本时段T的复杂指数傅里叶串联表示周期性信号x(t)O.是(谁)给的
由于正弦和余弦可以以指数形式表示。因此,通过操纵指数傅里叶系列,我们可以获得其三角形式。
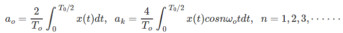
这三角傅里叶系列表示具有基本时段T的周期性信号x(t)的表示
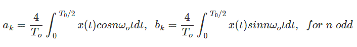
哪里A.K.和B.K.是傅立叶系数给出
一种0.是信号的直流分量,并给出
傅立叶系列的性质
1.如果x(t)是偶数函数即x( - t)= x(t),然后B.K.= 0且
如果x(t)是偶数函数即x( - t)= - x(t),然后一种0.= 0,aK.= 0且
3.如果x(t)是半对称函数即x(t)= -x(t±t0./ 2),然后一种0.= 0,aK.= B.K.= 0对于k偶数,
4.线性
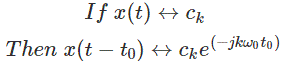
时间转移
6.逆转时间
7.乘法
8.缀合
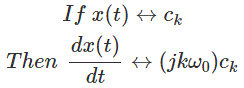
9.差异化
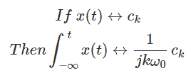
10.整合
11.定期卷积
三角形式指数形式与系数之间的关系
当x(t)是真实的,然后a和b,是真实的,我们有
信号的换档轴线的影响
- 在相对于参考时间轴T = 0向左向右移动波形,仅频谱变化的相位值,但幅度频谱保持不变。
- 在向上或向下移动波形时,时间轴仅更改功能的DC值。
















