在我向大家介绍控制系统的状态空间分析,在此讨论传统理论与传统理论的区别是非常重要的控制系统以及现代控制系统理论。
- 传统的控制理论完全基于频域方法,而现代控制系统理论基于时域方法。
- 在传统的控制系统理论中我们有线性和时不变的单输入单输出(的输出在现代控制系统理论的帮助下,我们也可以很容易地分析甚至非线性和时变的多输入多输出(MIMO)系统。
- 在现代控制系统理论中,稳定性分析和时间响应分析可以用图解法和解析法很容易地完成。
现在控制系统的状态空间分析以现代理论为基础,该理论适用于所有类型的系统,如单输入单输出系统、多输入多输出系统、线性和非线性系统、时变和时不变系统。让我们考虑几个与现代控制系统理论的状态空间分析有关的基本术语。
- 状态空间中的状态分析:它指的是在t = t时已知的最小变量集0结合t≥t的输入知识0给出了系统在任意时刻t≥t的行为的完整知识0.
- 状态空间分析中的状态变量:它指的是帮助我们确定动态系统状态的最小变量集。状态变量由x定义1x (t)2X (t)……n(t)。
- 状态向量:假设需要有n个状态变量来描述给定系统的完整行为,那么这n个状态变量被认为是向量x(t)的n个分量。这样的向量称为状态向量。
- 状态空间:它指的是有x的n维空间1x轴,2轴 ......... xn轴。
状态空间方程
我们来推导线性时不变系统的状态空间方程。
我们考虑有r个输入和m个输出的多输入和多输出系统。
其中r = u1,你2,你3............ur.
m = y1y2...........y米.
现在我们用n个状态变量来描述给定的系统因此n = x1, x2, ...........xn.
我们还将输入和输出向量定义为,
输入向量的转置,
其中T是矩阵的转置。
输出向量的转置,
其中T是矩阵的转置。
状态向量的转置,
其中T是矩阵的转置。
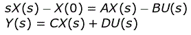
这些变量通过下面的一组方程联系起来,这些方程被称为状态空间方程
用传递函数表示状态模型
分解:它定义为由给定的传递函数得到状态模型的过程。现在我们可以用三种不同的方法分解传递函数:
- 直接分解,
- 级联分解或串联分解,
- 并行分解。
在上述分解方法中,我们首先将给定的传递函数转化为微分方程,即动力学方程。转换成微分方程后,我们将求逆拉普拉斯变换然后对上述方程对应的类型进行分解就可以创建模型。我们可以在状态模型中表示任意类型的传递函数。我们有各种类型的模型,如电气模型,机械模型等。
传递矩阵用A, B, C, d表示。我们把传递矩阵定义为输出的拉普拉斯变换到输入的拉普拉斯变换。
重新写出状态方程并对两个状态方程做拉普拉斯变换(假设初始条件为零)我们得到
我们可以把方程写成
其中I为单位矩阵。
现在把X(s)的值代入方程Y(s)让D = 0(均值是零矩阵)我们得到
矩阵的逆可以用矩阵的adj除以矩阵的行列式代替,现在重写一下我们的表达式
当等于0时,|也被称为特征方程。
特征值和特征向量的概念
我们上面描述的特征方程的根称为矩阵A的特征值或特征值。
现在有一些与特征值相关的性质这些性质写在下面
- 任何方阵A和它的转置At都有相同的特征值。
- 任意矩阵A的特征值的和等于矩阵A的迹。
- 任何矩阵A的特征值的乘积等于矩阵A的行列式。
- 如果我们把一个标量乘以矩阵a那么特征值也乘以相同的标量值。
- 如果我们求给定矩阵A的逆那么它的特征值也是逆的。
- 如果矩阵的所有元素都是实数,那么对应于该矩阵的特征值要么是实数,要么存在于复共轭对中。
现在存在一个特征向量对应于一个特征值,如果它满足以下条件(ek × I - A)Pk = 0。式中k = 1, 2, 3, ........n。
状态转移矩阵与零状态响应
我们在这里感兴趣的是推导状态转移矩阵和零状态响应的表达式。还是用我们上面推导的状态方程拉普拉斯变换我们有,
现在重写上面的方程
让(一)-1= θ(s)对上面的方程求拉普拉斯逆变换
θ(t)表达式称为状态转移矩阵。
l-1θ(t)BU(s) =零状态响应。
现在让我们讨论状态转移矩阵的一些性质。
- 如果我们把t = 0代入上面的方程,就会得到1。数学上我们可以写成θ(0) =1。
- 如果我们把t = -t代入θ(t)就得到θ(t)的倒数。数学上我们可以写成θ(-t) = [θ(t)]-1.
- 我们还有另一个重要的性质[θ(t)]n=θ(nt)。















