1891年在法兰克福展览会上尼古拉·特斯拉展示了一种粗糙的多相感应电动机.感应电动机被广泛使用。世界上近80%的交流电机是多相感应电机。所以这个电机的速度控制是一个重要的议程。的多相感应电机的速度控制可以通过不同的方法来完成。本文将讨论利用转子的变化来控制绕线转子感应电动机的速度电阻.
传统的改变转子电阻的方法是在电机三相绕组中串联一个可变变阻器。这种速度控制方法面临问题,这在经济上是不可行的。转子电阻的变化可以通过使用电力电子设备这是一个更有效的方法。这里我们将展示如何实现这一点。
基本概念
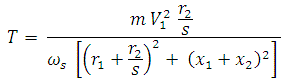
的转矩方程对于多相感应电动机,
在正常工作条件下2r / s≫1, x1因此方程变成,
该方程表明,当转矩不变时,转差率与转子电阻成正比。如果转子电路中的电阻增加,转差率就会增加,转子的速度就会降低。此方法仅适用于绕线转子感应电动机.
从图1可以清楚地看出,转速随转子电阻的变化是如何变化的。
在正常工作条件下,转差率随转矩增大而增大,因此它们服从线性特性。对于一个固定的负载曲线,速度从n开始向下1到n4.从这个图中我们还可以得到阻力r开始时的最大转矩2”。因此,该方法的优点是在启动阶段获得最大的转矩。
特征
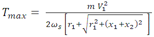
但根据方程,最大转矩与转子电阻无关,
当需要间歇速度控制时,使用这种类型的速度控制。
它有一些缺点
- 的变阻器它用于改变转子的每一相电阻,从而造成转子不平衡。
- 这些电阻在系统中产生巨大的损失和热量。
- 在大型机器的情况下,变阻器的尺寸将是大的,在这种情况下,它不容易携带。
- 它需要更多的维护,因此与它相关的成本更多。
- 这种方法不能用于工业自动化目的由于我们必须手动改变电阻的值。
上述问题可以很容易地消除使用脉宽调制(PWM),或脉宽调制(PDM)与桥式整流器还有一个开关晶体管。
转子电阻也可以使用图(a)所示的电路进行无级变化。转子的交流输出电压是通过整流的二极管桥式整流并以并联组合馈电固定电阻器R和一个半导体开关晶体管Tr.穿过端子A和B的电阻有效值,即RAB会因负载周期的变化而变化吗晶体管Tr,从而改变转子电路的电阻。电感添加到电路中,以减少直流环节电流Id.忽略纹波时转子电流波形如图(b)所示。因此,均方根值当前将是
晶体管开时,A和B端之间的电阻为零,关时电阻为R。因此,端子间电阻的平均值由
式中,δ为晶体管占空比。
电力被R消耗AB每相位电阻为
从这个方程可以看出,每相转子电路电阻增加了0.5(1-δ)R。这样就可以计算出电路的总电阻。
因此,总转子电阻是变化的Rr当δ从1到0变化时,为0.5(1-δ)R。
使用静态装置的感应电机速度控制的优点
结论
尽管感应电动机的速度控制使用这种技术是高效的,但是由于我们是用电阻来控制电机的速度,这里也会发生电阻损耗,这就给电机造成了不必要的发热效应,也在一定程度上降低了效率。这就是为什么它不能连续运行,它被用于间歇应用,如架空起重机,负荷波动等。













