内容
正偏PN结
一个PN结据说是正向偏压当p型区域的正极连接到a的正极电压源和n型区域连接到电压源的负端。
在这种正向偏置条件下,由于源正极的吸引,p型材料中参与共价键生成的电子将被吸引到该端。
结果,共价键的数目被打破,电子向正极移动。这导致晶体中靠近终端的电子浓度增加,这些电子在这里与空穴重新结合。
这样,远离结的p型区域的空穴数量增加,而靠近终端的p型区域的空穴数量减少,空穴从终端移到结。
由于负离子层附近的空穴浓度较高,负离子的电子从空穴中出来,与这些空穴重新结合,在层内形成新的空穴。因此,负离子层的宽度减小,最后,负离子层消失。
同样,由于源端是负的,n型区域的自由电子会向结合部撤销,在结合部它们会找到带正电的杂质离子层,并开始与这些离子重新结合,在层内产生自由电子。因此,正杂质离子的宽度减小,最后消失。
这样,两层离子都消失了,也就没有耗尽层了。耗尽层消失后,晶体中n型区域的自由电子容易漂移到p型区域,空穴容易从p型区域漂移到n型区域。
因此,理想情况下,流动不会受到阻碍当前的, PN结表现为短路。
反向偏压PN结
当电压源的正端连接到n型区域,源的负端连接到p型区域时。PN结称为反向偏置状态。
当没有电压应用于p n结,在25时,在结上产生的电势为0.3伏o结上的锗为C, 25时为0.7伏oC为硅p n结。
这个势垒的极性与反向偏置条件下施加的电压源的极性相同。如果PN结的反向偏置电压增加,PN结的势垒电位也会增加。因此,PN结被加宽。
当源的正极连接到n型区域时,由于耗尽层中产生更多的正电荷杂质离子,使正杂质离子层变厚,该区域的自由电子被吸引到源的正极。
同时,由于源的负端连接到结的p型区域,电子被注入到该区域。
由于n型区域的正电位,电子向结合部漂移,与带正电荷的杂质离子层附近的空穴结合,在层内产生更多的正电荷杂质离子。因此,层的厚度增加。
这样,耗尽层的总宽度随着势垒势的增加而增加。耗尽层宽度的增加将持续到势垒势达到施加反向偏置电压为止。
虽然势垒势的增加将持续到施加的反向偏置电压,但如果施加的反向偏置电压足够高,耗尽层将由于齐纳击穿和雪崩故障.
需要注意的是,反向偏压耗尽层完成后,由于势垒的反对,载流子(电子和空穴)不再通过结电压它的值和势垒相等。
由于热产生的少数载流子,电流从n型区域流向p型区域p型半导体和洞在一个n型半导体.
PN结正向电流
当电池电压施加于正向偏置结,a当前的会不断地流过这个结点。
我年代饱和电流(109到10-18年一)
VT为伏特当量温度(室温下= 26 mV)
n为发射系数(Si ic为1≤n≤2)
实际上,这个表达式是近似的。
PN结反向电流
当pn结连接在电池以这样一种方式,其n型区域连接到电池的积极力量和p型地区连接到电池的负面力量据说p n结反向偏置条件。理想情况下,没有电流流过结。但实际上会有一个很小的反向偏置电流iD表示为。
我D降到零值或最小值。我D可以写成我吗0.
我年代饱和电流(109到10-18年一)
VT为伏特当量温度(室温下= 26 mV)
n为发射系数(Si ic为1≤n≤2)
实际上,这个表达式是近似的。
PN结通用技术条件
p-n结有四种指定方式。
- 正向电压降(VF):是正向偏置结电平电压(锗为0.3V,硅二极管为0.7V)
- 平均正向电流(IF):它是由漂移的电子流或多数载流子引起的正偏电流。如果平均正向电流超过它的值,二极管就会过热并可能损坏。
- 峰值反向电压(VR):的最大反向电压二极管在反向偏置的情况下。在这个反向电压下,由于它的少数载流子,二极管会发生击穿。
- 最大功耗(P):它是正向电流和正向电压的乘积。
PN结的V-I特性
在正向偏置中,运算区域在第一象限。锗的阈值电压为0.3 V,硅的阈值电压为0.7 V。超过这个阈值电压,图表以非线性的方式上升。这幅图是正偏置中结的动态电阻。
在反向偏置电压在p-n结上增加相反的方向,但没有当前的由于大多数载流子,只有很小的泄漏电流流动。但在某一反向电压下,p-n结导电中断。
这只是由于少数的携带者。这个电压量足以使这些少数载流子打破耗尽区。在这种情况下,一个尖锐的电流将流过这个结。这种电压击穿有两种类型。
p-n结电阻
p-n结动态电阻
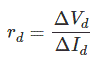
从p-n结的V-I特性可以看出,图不是线性的。的正向偏压p-n结电阻是rd欧姆;称为交流电阻或动态电阻。它等于电压-电流的斜率PN结.
p-n结的平均交流电阻
平均交流电阻由连接外部输入最小值和最大值的交点所画的直线确定电压.
关于p-n结的一些重要术语
PN结的过渡电容
当耗尽区存在于共结附近时,则有二极管充当电容器。这里的耗尽区是电介质,两端的两个区域(p型和n型)充当a的带电板电容器.随着耗尽层的减少,电容价值下降。
PN结的扩散电容
它是二极管在正向偏置条件下的电容,定义为所产生的过渡电荷与中差分变化的比值电压.
当当前的通过结增加,扩散电容也增加。随着电流的增加,正偏电阻也随之减小。这种扩散电容略大于过渡电容。
PN结的存储时间
它是通过在开关过程中同时施加正向和反向偏置电压,电子从n型区域移动到p型区域和p型区域移动到n型区域所花费的时间。
PN结的过渡时间
它是电流减小到反向泄漏电流所花费的时间。这个过渡时间可以由P-N结的几何形状和掺杂水平的浓度决定。
pn结反向恢复时间
它是存储时间和过渡时间的总和。是时候二极管提高外加电流,从反向漏电流中得到恒定值的10%。














