该仪器是一种最原始形式的测量和继电器仪器。动铁式仪表主要有两类。吸引型和排斥型仪器。
每当一块铁靠近磁铁时,它就会被磁铁吸引。这种吸引力的力量取决于所说的力量磁场.如果磁铁是电磁铁,那么磁场强度可以通过增加或减少很容易地增加或减少当前的通过其线圈。
因此,作用在铁片上的引力也会增加或减少。依赖于这种简单的现象吸引类型动铁式仪表是发达国家。
每当两块铁并排放在一起,一块磁铁靠近它们时,铁块就会相互排斥。这种斥力是由于外部磁场在铁片的同侧产生的相同磁极而产生的。
如果磁铁的磁场强度增加,这种斥力就会增加。比如,如果磁铁是电磁铁,那么磁场通过控制磁体的输入电流可以很容易地控制磁体的强度。因此,如果电流增加,铁块之间的斥力就会增加,电流减少,它们之间的斥力就会减少。这取决于这种现象的排斥类型动铁式仪表被建成了。
移动铁器的构造
介绍了吸引式动铁仪的基本结构
薄软铁盘在线圈前面偏心旋转。当电流流过线圈时,铁倾向于从较弱的磁场向较强的磁场向内移动。在引力移动仪器中,以前采用重力控制,但在比较现代的仪器中,重力控制方法已被弹簧控制所取代。通过调整配重,实现了指针的零偏。在这个仪器中,所需的阻尼力由空气摩擦力提供。图中显示了仪器中提供的典型阻尼系统类型,阻尼是通过空气注射器中的移动活塞实现的。
引力式动铁仪原理
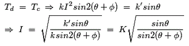
设没有电流通过线圈时,指针为零,铁盘的轴线与垂直于磁场的线的夹角为φ。现在由于电流I和相应的磁场强度,铁片偏转到一个角θ。H在缺陷铁盘轴方向上的分量为Hcos{90 - (θ + φ)或Hsin (θ + φ)。作用在圆盘上的力F向内作用于线圈,因此与H成正比2sin(θ + φ)因此力也与I成正比2SIN(θ+φ)用于恒定渗透性。如果该力在距离枢轴的距离L上作用在盘上,则偏转扭矩,
因为l是常数。
式中,k为常数。
现在,由于仪器是重力控制的,控制力矩将是
式中,k '为常数。
在稳定状态下,
其中K为常数。









