什么是中等传输线?
一个中等传输线定义为输电线路有效长度超过80公里(50英里),但不到250公里(150英里)。与短输电线路时,介质传输线的线路充电电流是可感知的,因此产生分流电容必须加以考虑(这也是为什么远距离输电线路).这个分流电容被捕获在准入(“Y”)的ABCD电路参数。
的ABCD参数用集总分流导纳和串联到电路的集总阻抗来计算中长传输线的集总阻抗。中长传输线的这些集总参数可以用三种不同的模型表示,即:
- 名义上的Π表示(名义PI模型)
- 名义上的T表示(名义T模型)
- 结束电容器的方法
下面我们对上述模型进行详细的讨论,推导出介质传输线的ABCD参数。
中传输线ABCD参数
标称Π介质传输线的表示
在名义上Π表示(即标称PI模型),将集总系列阻抗放置在电路的中间,而分流器导入在末端。从下面的π网络的图表中看出,总集总分道的分流入导率被分成2个等于一定数量,并且每一半具有值Y / 2位,在整个电路阻抗之间放置在发送和接收端。他们俩。
这样形成的电路的形状类似于符号的形状Π,因此,它被称为a的名义Π表示中等传输线.它主要用于确定电路的一般参数和执行载流分析。
我们可以在这里看到,v年代和VR是供应端和接收端吗电压分别,我年代是个当前的流过供应端。我R电流是流过电路的接收端。我1和我3.是流过导纳的电流的值。和我2电流是否通过阻抗Z
现在申请KCL.,在节点p,我们得到。
类似地应用KCL,节点Q.
将方程(2)代入方程(1)
现在通过应用在任一瞬间电路,
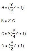
将式(4)、(5)与标准ABCD参数方程进行比较
我们推导出介质传输线的ABCD参数为:
介质传输线的标称T表示
在名义T在介质传输线模型中,集总分流导纳位于中间,而网络串联阻抗被分成相等的两半,并置于分流导纳的两侧。这样形成的线路类似于首都的标志T,因此称为中长传输线的标称T网,如下图所示。
这里也V年代和Vr是供应端和接收端吗电压分别为,
我年代是流过电源端的电流。
我r电流是流过电路的接收端。
设M是电路中点的一个节点,在M处的落差由V给出米.
将KVL应用于上述网络,
现在发送端电流是,
代入V的值米对于式(9)我们得到,
再次将式(8)和(10)与标准ABCD参数方程进行比较,
的参数T网络的中等传输线是
结束电容器的方法
在这种方法中,线路的电容在接收端或负载端跛行或集中。这种在负载端定位线电容的方法高估了电容的作用。



















