
初始值定理和最终值定理在一起称为限制定理。初始值定理通常称为IVT。它将使我们能够在时间t =(0+)对于给定的转换功能(LAPLACE)而不使我们更加努力地找到f(t),在这种情况下是一个繁琐的过程。
初始值定理存在的条件
-
- 功能f(t)及其导数f(t)应该是拉普拉斯可变形的。
- 如果时间t接近(0+)然后应该存在函数f(t)。
- T> 0的功能f(t)= 0,并且在原点不包含脉冲或更高阶的奇点。
拉普拉斯初始价值定理声明
如果f(t)和f(s)是拉普拉斯变换对。IE
的初值定理
拉普拉斯初始值定理证明
函数f(t)的拉普拉斯变换是
然后拉普拉斯转换为其导数f'(t)是
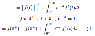
首先考虑整体部分
替代(2)在(1)中我们得到
消去f (0-)双方我们得到了
我们可以直接地写下上面的等式,但我的内容就会从(0-然而,对于∞),我们考虑其与具有正值的结果的限制的负值。
笔记:
我们还知道拉普拉斯变换仅适用于因果职能。
考虑到(S)倾向于(3)的双方都无限
因此,证明了初始值定理。
初始值定理的应用
正如我所说,初始值定理的目的是确定函数f(t)的初始值,所以提供了其拉普拉斯变换
例1:
找到函数f(t)= 2 u(t)+ 3成本U(t)的初始值
索尔:
通过初始值定理
初始值由5表示。
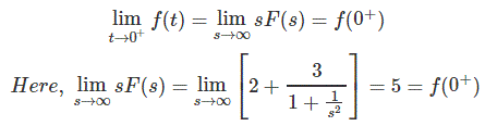
例2:
查找变换功能的初始值
索尔:
通过初始值定理
[由于S→∞S变得越来越微不足道的值,因此通过简单地采用领先的共同效率的比率来获得结果
例3:
找到初始值
解决方案:
在这种情况下,初始值定理不适用。我们可以通过两种方式证明这一点。
让我们看看它是怎么回事
方法1:
笔记:
如果F(s)是适当的级分,则该定理是适用的,则分子多项式比分母多项式较低。
如果应用IVT,我们将获得∞作为初始值。
[在实用电路中是不可能的]
aliter:
应用逆拉普拉斯变换
显而易见的是,由于存在脉冲函数,因此不适用初始值定理,这随着时间的推移是恒定的。
通过本讨论,可以轻松地操纵电路的初始条件,随着拉普拉斯变换功能。


















