磁链测试是测试直流电机效率的另一种有用方法。这是一个满载测试,它需要两个相同的机器,并相互耦合。betway网页版这两台机器中的一台作为发电机运行,betway网页版为电机提供机械动力,另一台作为电机运行,驱动发电机。对于这种背对背驱动电机和发电机的过程,霍普金森试验又称背对背试验或再生试验。
如果机器没有损耗,那么就不需要外部电源。但是由于发电机输出的下降电压我们需要一位电压源为电机提供适当的输入电压。因此,从外部电源汲取的电力因此被用来克服内部的损失电动发电机组.磁链测试又称蓄热试验或背对背试验或热运行试验。
霍普金森试验连接图
这是一个电路连接磁链测试如下图所示。一台电动机和一台发电机都是一样的,它们是耦合在一起的。当机器启动时,它作为电动机启动。调整机器的分流磁场电阻,使电机能以其额定速度运行。
现在使发电机电压等于电源电压电压通过调节连接在发电机上的并联磁场电阻。发电机和电源的这两种电压的相等用电压表因为它在连接开关的这一点上给出了一个零读数。通过改变电机和发电机的磁场电流,机器可以在额定速度和期望负载下运行。
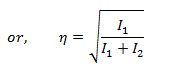
Hopkinson检验的效率计算
设,V =机器的电源电压。betway网页版
然后,
我1=的当前的从发电机
我2=来自外部电源的电流
和,发电机输出= VI1..................( 1)
让两台机器以相同的效betway网页版率' η '运行。
电机输出=
从方程1和2,我们得到,
现在,在电机的情况下,电枢铜损失在电机=.
R一个是电动机和发电机的电枢电阻。
我4为电动机的分励磁场电流。
电机中的分励场铜损耗为VI4
其次,在发电机电枢铜损耗的情况下=
我3.为发电机的分励励磁电流。
发电机的分流场铜损耗= VI3.
现在,外部电源的电源= VI2
因此,这两台机器的杂散损耗将是betway网页版
我们假设这两台机器的杂散损耗是相同的。betway网页版然后,
杂散损耗/机器= W/2
发电机的效率
发电机的总损失,
发电机输出= VI1
然后是发电机的效率,
电机的效率
电机总损耗,
然后,电机的效率,
霍普金森测试的优势
这个测试的优点是……
- 与电机-发电机耦合系统的满载功率相比,该测试需要非常小的功率。这就是为什么它是经济的。大型机器可以betway网页版在额定负载下进行测试,而不需要太多的功率消耗。
- 由于该试验是在满载条件下进行的,因此可以观察到温升和换向并保持在极限。
- 铁损失的变化是因为通量由于其满载状态的优势,可以考虑变形。
- 可以确定不同负载下的效率。
霍普金森测试的缺点
这个测试的缺点是
- 很难找到两台相同的机器betway网页版磁链测试.
- 这两台机器betway网页版不可能在所有时间都平均加载。
- 这两台机器不可能得到单独的铁损失,尽管它们因各自的激励而不同。betway网页版
- 由于磁场电流变化很大,在额定转速下操作机器很困难。betway网页版








