电熔丝
在电气网络正常工作状态下当前的流经网络的流量在额定限制内。如果电网发生了主要的相对相短路故障或相对地故障,则电网电流超过了额定限值。
这种大电流可能产生非常高的热效应,将对连接到电网的贵重设备造成永久性的损坏。因此,这种高故障电流应尽快中断。这是什么电熔丝所做的事。
熔断器是由导线组成的电路的一部分,当电流超过预定值时,导线容易熔化并断开连接。保险丝是保险丝最薄弱的部分电路当超过预定的电流流过时,电流就会中断。
熔丝
的功能熔丝是携带正常电流而不过度加热,但超过正常电流通过保险丝时,它迅速加热并熔化。
熔丝材料
的用于熔丝的材料主要有锡、铅、锌、银、锑、铜、铝等。
保险丝额定
熔点和特异性电阻不同金属用于熔丝
| 金属 | 熔点 | 比电阻 |
| 铝 | 240oF | 2.86 μ Ω - cm |
| 铜 | 2000oF | 1.72 μ Ω - cm |
| 铅 | 624oF | 21.0 μ Ω - cm |
| 银 | 1830oF | 1.64 μ Ω - cm |
| 锡 | 463oF | 11.3 μ Ω - cm |
| 锌 | 787oF | 6.1 μ Ω - cm |
Fuse需要一些重要的术语
保险丝
之前已经定义过了。
熔丝
它也在前面定义过。
最低保险丝熔断电流
它是熔断器熔解时电流的最小值。
熔断器额定电流
它是电流的最大值,因此熔断器不会熔化。
融合因素
这是熔断器的最小熔断电流与额定电流之比。
因此,熔丝系数=最小熔丝电流或熔丝额定电流。
熔合因子的值总是大于1。熔断器未来电流
熔断前,熔断元件必须通过短路电流。预期电流是指网络发生短路后立即通过保险丝的电流值。
熔断器熔化时间或熔断器预烧弧时间
这是熔丝熔断所需要的时间。它从瞬间开始计算;过电流开始流经熔断器,直到熔丝瞬间被熔断。
引信烧弧时间
后打破对于熔丝,在熔丝的两个尖端之间将会产生电弧,电弧将在电流为零时熄灭。从电弧产生的瞬间到电弧熄灭的瞬间所占的时间称为熔断器的电弧时间。
熔断器运行时间
当过高的电流流经熔断线时,熔断熔断线需要一定的时间,熔断后熔断的熔断线尖端之间的弧星最终熄灭。熔断器的运行时间是指过额定电流开始流经熔断器的瞬间和熔断器内电弧最终熄灭的瞬间之间的时间间隔。即引信运行时间=熔解时间+起弧时间。
熔丝载流容量
熔丝的电流承载能力取决于许多因素,如它使用的材料,它的尺寸,即直径和长度,大小,用于连接它的端子的形状,以及周围环境。
融合法
融合法确定保险丝的载流能力。我们可以按下列方式制定法律。
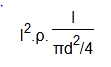
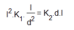
在稳态状态下,即熔断器在不提高其温度到熔化极限的情况下承载正常电流。这意味着在这个稳态条件下,由于通过保险丝的电流产生的热量等于它散发的热量。
产生热量= I2R。
其中R是电阻保险丝的边缘。
ρ是什么电阻率, l为熔丝长度,a为熔丝截面积。
式中,d为熔丝直径。
在那里,K1是一个常数。
热损失∝熔丝表面积∝πd.l。
在那里,K2是一个常数。
把(i)和(ii)等价,我们得到,
这被称为融合法
| 金属 | 当d以mm为单位测量时,K的值 |
| 铝 | 59 |
| 铜 | 80 |
| 铁 | 24.6 |
| 铅 | 10.8 |
可重接或奇巧保险丝单元
奇巧保险丝是我们日常生活中最常用的保险丝。该保险丝主要由两部分组成。输入和输出线或相线永久连接的单元称为保险丝底座。将保险丝固定在底座上的可拆卸部分称为保险丝托架。熔断器载体也被称为断路.
保险丝
在保险丝保险丝被封装在一个透明的玻璃管或灯泡内,整个机组是密封的。如果保险丝烧断,应更换新的保险丝由于其密封性,不能重新接线。
铅锡合金熔断丝或共晶合金熔断丝
对于电流中断量小的铅锡熔丝,过去一直采用合金熔丝。含铅37%、锡63%的铅锡合金是熔丝的首选材料。这种合金熔断丝也称为共晶合金熔断丝。这种类型的合金有一些特殊的特性,因此它是首选的熔丝。
- 它具有较高的brinner硬度和较小的扩散倾向。
- 合金金属很均匀。
- 如果对共晶合金和其他合金成分的熔合特性进行研究,就会发现,与其他两种合金相比,共晶合金中只有一个熔点。
铅锡合金熔断丝在空气中的熔断电流近似
| 直径 线在英寸 |
保险丝熔断电流 在一个 |
最高安全 目前在一个 |
| 0.02 | 3. | 2 |
| 0.022 | 3.5 | 2.3 |
| 0.024 | 4 | 2.6 |
| 0.028 | 5 | 3.3 |
| 0.032 | 6 | 4.1 |
| 0.036 | 7 | 4.8 |
| 0.048 | 10 | 7 |
| 0.064 | 16 | 11 |
注:-保险丝的最小长度为2.5 ~ 3.5英寸。上面表中的值是真的只有当保险丝不接触融合控制身体因为当保险丝接触陶瓷或其他价值的保险丝熔断电流随载电流保险丝的散热率,增加。因此,在重新布线保险丝夹上的保险丝时,应始终采取预防措施,使其不应接触保险丝夹体。
HRC熔断器或高破裂容量熔断器
![]() |
![]() |
HRC保险丝或高断容量熔断器-在这种类型的保险丝,保险丝或元件可以携带一个已知的时间周期的短路大电流。在这段时间内,如果故障被清除,那么它就不会中断。否则,它会被吹掉或融化。的外壳HRC保险丝要么是玻璃,要么是其他化合物。
这个外壳是充分密封的,以避免大气对熔断器材料的影响。陶瓷外壳,两端均有金属端盖,可熔银丝可焊在其上。在熔断线或熔断器元件周围有一个空间,完全用填充粉末填充。
该熔断器可靠性高,具有逆时间特性,即故障电流高则断裂时间短,故障电流低则断裂时间长。
HRC保险丝的操作
当过高的电流流过熔断器元件时高断容量熔断器元素被熔化和蒸发。
所述灌装粉的数量使银蒸气与所述灌装粉之间的化学反应形成高电阻这种物质对淬火弧.














