什么是放电电容器?
放电电容器意味着释放存储在电容器内的电荷。让我们去一个电容器被放电的例子。
我们联系收费电容器电容C Farad系列串联电阻器的抵抗性欧姆。
然后,我们通过如图所示开启推送开关来短路短路。
一旦电容器短路,它就开始放电。
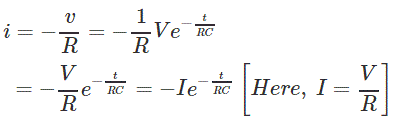
让我们假设,电压在充满电源条件下的电容器是V伏。一旦电容器短路短路,电路的放电电流将是 - v / r安培。
但是在切换时的瞬间是在t =+0,呢当前的通过电路是
按照Kirchhoff的电压法我们得到,
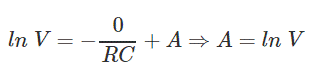
我们得到,
其中,a是集成的常数,并且在t = 0,v = v,
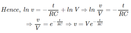
计算a的值后,我们得到,
我们知道电路的kvl,
如果我们在图中绘制了这些放电电流和电压,我们得到了,
因此,电容器电流从其初始值呈指数达到零,并且电容器电压在放电期间从其初始值呈指数上到零。












