在我向大家介绍各种控制系统补偿详细地,了解补偿网络的用途是非常重要的控制系统。补偿网络的重要用途如下所示。
必要的补偿
- 为了获得系统的所需性能,我们使用补偿网络。补偿网络以馈线前进路径增益调整的形式应用于系统。
- 补偿不稳定的系统使其稳定。
- 补偿网络用于最小化过冲。
- 这些补偿网络提高了系统的稳态精度。这里需要注意的重要一点是,稳态精度的增加会给系统带来不稳定性。
- 补偿网络还引入了系统中的极点和零,从而导致系统的传递函数的变化。由于此,系统更改的性能规范。
补偿的方法
-
- 连接补偿电路错误探测器和植物被称为串联补偿。
串联补偿器
-
- 当以反馈方式使用的补偿器称为反馈补偿。
反馈补偿器
-
- 串联补偿器和反馈补偿器的组合称为串联补偿器负载补偿。
加载CommanTATORNOW是什么补偿网络?补偿网络是一种调整,以便在系统中弥补缺陷。补偿装置可以是电气,机械,液压等的形式。大多数电气补偿器是RC过滤器。用于补偿器的最简单网络被称为铅,滞后网络。
相位超前补偿
一个只有一个极点和一个支配零的系统(比所有零点更接近原点的零点被称为支配零)被称为超前网络。如果我们想加一个支配性的0控制系统补偿然后我们必须选择超前补偿网络。
相位引导网络的基本要求是网络的传输函数的所有极点和零必须位于( - )Ve实轴上彼此相互界限,零位于最近的原点的起源。
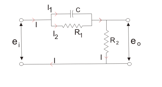
下面给出的是该相位的电路图超前补偿网络。
相位超前补偿网络
从上面的电路我们得到,
等于我得到的表达,
现在让我们确定给定网络的传递函数,并且可以通过找到输出的比率来确定传递函数电压输入电压。
所以服用拉普拉斯变换上面方程的两边,
取代α=(r1+ R2) / R2和t = {(r1R.2) / (R1+ R2)}。
式中,T和α分别为时间常数和衰减常数,有
上述网络可以可视化为具有1 /α增益的放大器。让我们为上述传递函数绘制杆零图。
铅补偿网络的杆零图
显然,-1/T(传递函数的零)比-1/(αT)(传递函数的极点)更接近原点。因此我们可以说lead compensator zero is more dominating than the pole and because of this lead network introduces positive phase angle to the system when connected in series.
我们将s = jω代入上述传递函数,我们也得到α < 1。求传递函数的相角函数
现在为了找到放置最大阶段引线,在频率发生,让我们区分该相位函数并将其等同于零。解决以上方程,我们得到了
在那里,θm为最大相位超前角。传递函数在最大θ处的大小m是1 /。
相铅补偿的影响
- 速度常数kV.增加。
- 幅度图的斜率在增益交叉频率处减小,因此相对稳定性得到改善,误差引起的误差减小与斜率成正比。
- 阶段利润增加。
- 反应变得更快。
相铅补偿的优点
让我们讨论相铅补偿的一些优点 -
- 由于存在相位引导网络,系统的速度增加,因为它将交叉频率移位到更高的值。
- 由于相位超前补偿的存在,系统的最大超调量减小。
阶段铅补偿的缺点
相位超前补偿的一些缺点
- 稳态错误没有改善。
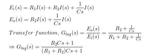
相位滞后补偿
一个系统有一个零和一个主导极点(所有其他极点都被称为主导极点),这个系统被称为滞后网络。如果我们想加一个支配极点控制系统补偿然后,我们要选a滞后补偿网络。
相位滞后网络的基本要求是,网络传递函数的所有极点和零点都必须位于实轴上,与位于或离原点最近的极点相互交错。
下面给出的是该相位的电路图滞后补偿网络。
相位滞后补偿网络
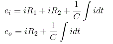
我们将在系列组合中进行输出电阻器R.2和电容器C。
从上面的电路图中,我们得到
现在让我们确定给定网络的传递函数,并且可以通过找到输出的比率来确定传递函数电压输入电压。
采取拉普拉斯变换我们得到,
以代替的代替式中(其中T和β分别为时间常数和直流增益),我们有
上述网络提供1 / β的高频增益。让我们为上述传递函数绘制杆零图。
滞后网络极点零图
很明显,-1/T(传递函数的零)远比-1/ (βT)(传递函数的极点)远。因此,我们可以说在滞后补偿器中极点比零点更具有支配性,并且由于这种滞后网络在串联时给系统引入了负相位角。
我们把s = jω代入上面的传递函数,我们也得到a < 1。求传递函数的相角函数
现在为了发现放置最大阶段滞后,频率发生,让我们区分该相位函数并将其等同于零。解决以上方程,我们得到了
在那里,θm为最大相位超前角。记住,β通常选择大于10。
相位滞后补偿的影响
- 增益交叉频率增加。
- 带宽降低。
- 阶段保证金将增加。
- 由于带宽的减小,上升时间和沉降时间变长,之前的响应会变慢。
滞后补偿的优点
让我们讨论阶段滞后补偿的一些优点 -
- 阶段滞后网络允许低频和高频衰减。
- 由于存在相滞后补偿,稳态精度增加。
相位滞后补偿的缺点
相位滞后补偿的一些缺点
- 由于存在相滞后补偿,系统的速度降低。
阶段滞后铅补偿
单次滞后或超前补偿可能不满足设计规范。对于不稳定的无补偿系统,超前补偿可以提供快速响应,但不能提供足够的相位裕度;滞后补偿可以稳定系统,但不能提供足够的带宽。所以我们需要多个级联补偿器。
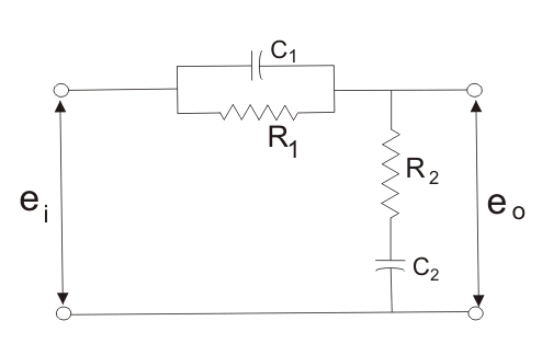
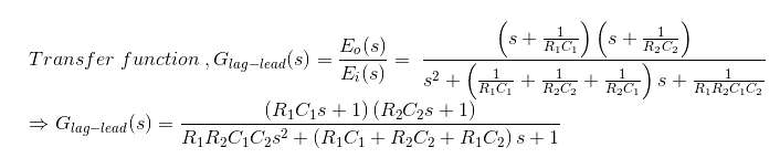
下面给出的是该相位的电路图滞后-超前补偿网络。
LAG铅补偿网络
现在我们来确定给定网络的传递函数传递函数可以通过求输出的比值来确定电压输入电压。
取代αT1= R1C1, R2C2=βT2, R1R.2C1C2=αβt.1T.2和T1T.2= R1R.2C1C2在上面的等式中(其中t1T2和α,β分别是时间常数和衰减常数)。我们有
让我们为上述传递函数绘制杆零图。
零点图滞后超前网络
显然-1/T(传递函数的零)远比-1/(βT)(传递函数的极点)远。因此我们可以说lag-lead补偿杆比零点更统治,而且由于这种滞后的网络可以在串联连接时向系统引入正相位角。
滞后铅补偿的优点
让我们讨论相位滞后超前补偿的一些优点
- 由于相位滞后超前网络的存在,使增益交叉频率移到一个较高的值,从而提高了系统的运行速度。
- 由于存在相滞铅网络精度得到改善。



























