让我们连接一个电容器的电容C与a串联电阻器的电阻r,我们也把这个连接起来电容器串联组合和电阻器与一个电池的电压V通过一个推开关S。
让我们假设电容器最初是不带电的。当我们按下开关,就像电容器是不带电的,没有电压得到发展通过电容器,因此电容器将表现为短路。在那一刻,电荷开始在电容器中积累。的当前的通过电路只会受到限制电阻R。
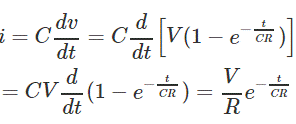
所以初始电流是V/R。现在电压逐渐在电容器上形成,这个形成的电压在极性的相反电池.因此当前的在电路中逐渐减小。当电压穿过电容器当电池的电压相等且相反时,电流为零。在充电过程中,电容器两端的电压逐渐增加。让我们考虑在任意时刻t,通过电容器的电压的增加速率为dv/dt,此时通过电容器的电流为
应用,基尔霍夫电压定律,在电路的那个瞬间,我们可以写,
两边积分得到,
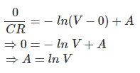
现在,在接通电路的时候,电压通过电容器是零。也就是说,t = 0时,v = 0。
把这些值代入上面的方程,我们得到
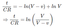
在得到A的值之后,我们可以把上面的方程重写为,
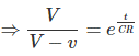
现在,我们知道,
这是充电过程中充电电流I的表达式。
电容器充电时的电流和电压如下图所示。
在上图中,我o是电容器在接通电路和V时最初不充电时的初始电流o是电容器完全充电后的最终电压。
将t = RC代入充电电流的表达式(如前文推导),可得:
因此,当t = RC时,充电电流的值为初始充电电流(V / R = I)的36.7%o)。这个时候被称为时间常数电容电路的电容值为C法拉,电容值随电阻R欧姆与电容串联。在时间常数下,通过电容器产生的电压值为
这里Vo在电容器完全充电后,电压最终在电容器上发展,它与源电压(V = Vo).
















